产品描述
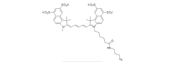
Sulfo-Cyanine5.5 is a water-soluble, hydrophilic fluorophore which possesses emission in far red area of the spectrum, an analog of Cy5.5®. As other cyanine dyes, sulfo-Cyanine5.5 has an outstanding molar extinction coefficient which gives rise to its bright fluorescence.The molecule contains four sulfo groups that provide hydrophilicity and negative charge to the fluorophore - this minimizes non-specific binding.The azide group of sulfo-Cyanine5.5 azide can be conjugated with terminal alkynes in the presence of copper(I) catalyst, or with cycloalkynes in copper free strain promoted reaction.