产品描述
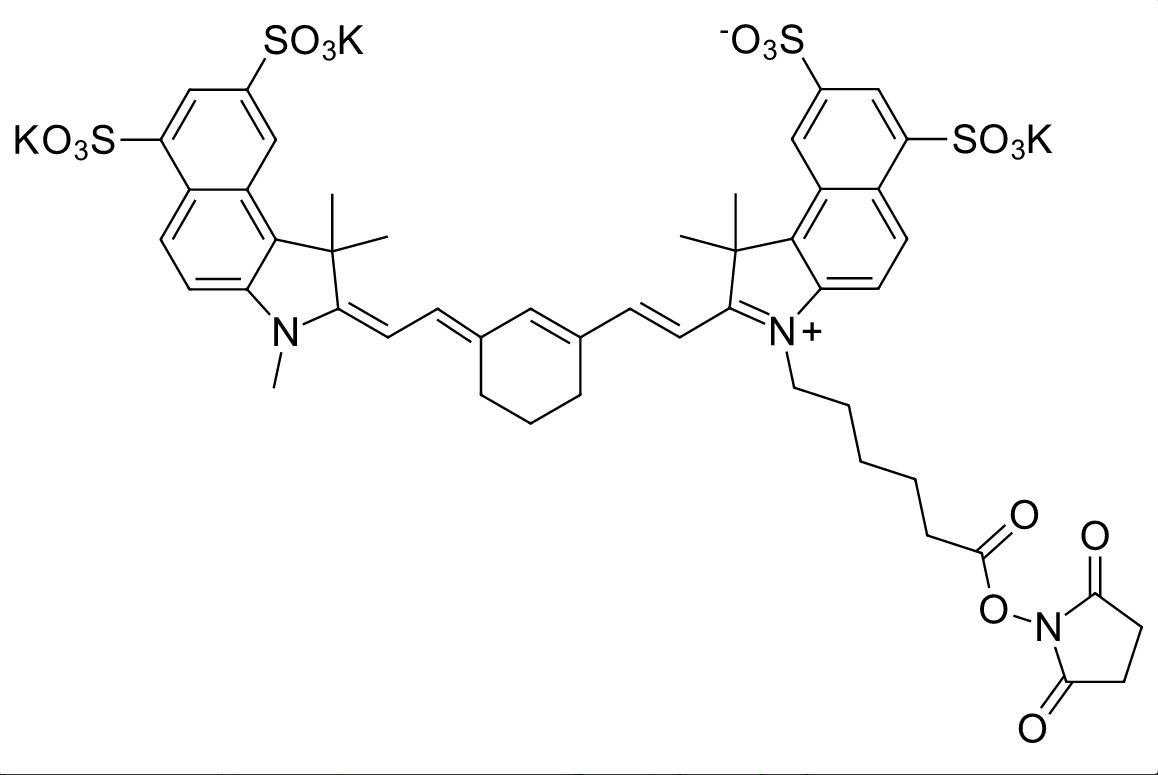
Sulfo-Cyanine7.5 is a near infrared water soluble and hydrophilic dye for the NIR imaging applications. The structure and spectra of the dye resemble indocyanine green (ICG) that has been approved for use in humans for years. However, unlike ICG, sulfo-Cyanine7.5 contains a trimethylene bridge that increases its quantum yield compared to ICG, and also has a linker arm for its attachment to proteins, peptides, and other molecules. This derivative is an NHS ester for the modification of amine groups.Excitation /Emission maximum 780-800nm