产品描述
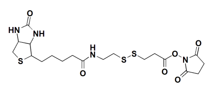
NHS-SS-Biotin,Succinimidyl-2-(biotinamido)-ethyl-1,3'-dithiopropionate, is an amine-reactive biotinylationreagent that contains a reducible disulfide. NHS-SS-Biotin is cell membranepermeable and has a long chain separating the biotin group from theamino-reactive NHS-ester (NHydroxysuccinimide ester). This product is oftenused to purify an antibody or other protein from a biotin specific affinityresin like immobilized streptavidin without exposing your protein of interestto denaturing conditions.