产品描述
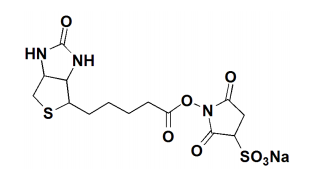
Sulfo-NHS-Biotin (Sulfosuccinimidyl biotin)is a water soluble biotinylation reagent. It is amine reactive and has a spacerarm length of 13.5Å. The Sulfo-NHS-Biotin biotinylation reagent is ideal forbiotinylating antibody or protein that can then be used for protein detectionor immobilization. Sulfo-NHS-Biotin is particularly useful for targeting cellsurface proteins.