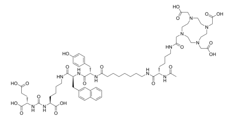
BQ7876是一种靶向前列腺特异性膜抗原(PSMA)的含有DOTA螯合剂的探针。BQ7876通过被放射性核素标记(177Lu)后靶向结合 PASM,来同时发挥放射性核素成像和破坏肿瘤细胞的功能。BQ7876有望用于转移性去势抵抗性前列腺癌(mCRPC)领域的研究。BQ7876可用于放射性核素偶联药物(RDC)的合成/研究。

简介:前列腺特异性膜抗原(PSMA)在转移性去势抵抗性前列腺癌(mCRPC)中高表达,是公认的治疗靶点。PSMA靶向诊疗剂在患者管理中得到广泛应用,并已显示出对mCRPC患者的治疗效果有所改善。此前,我们通过计算机建模优化了一种基于脲的探针,用于体内PSMA表达的放射性核素可视化。为了开发一种同样适用于放射性核素成像和治疗的靶向剂,设计了含DOTA配体的化合物(BQ7876)。本研究旨在验证假设,即177Lu标记的BQ7876具有潜在的靶点结合和生物分布特性,使其可用于放射治疗。
方法:合成BQ7876并用Lu-177进行标记。评估了[177Lu]Lu-BQ7876对表达PSMA的PC3-pip细胞的特异性和亲和力,并研究了其与细胞结合后的处理情况。在小鼠体内进行了动物实验,以评估其体内分布、靶向特异性和剂量学。同时对[177Lu]Lu-PSMA-617进行了评估以作对比。
结果:BQ7876用Lu-177标记,放射化学产率>99%。在抗原饱和条件以及PSMA阴性的PC-3肿瘤中进行的体外和体内测试表明,其与PSMA的结合具有特异性。[177Lu]Lu-BQ7876与活细胞的结合特点是快速结合,而解离则包括快速和缓慢两个阶段,亲和力分别为KD1=3.8nM和KD2=25nM。天然Lu-BQ7876的半最大抑制浓度为59nM,与天然Lu-PSMA-617相同。[177Lu]Lu-BQ7876在细胞内的处理过程伴随着缓慢的内化。[177Lu]Lu-BQ7876从血液和正常组织中清除迅速。注射后肾脏的初始摄取升高,但很快下降,到注射后3小时,肾脏摄取(13±3%ID/g)与肿瘤摄取(9±3%ID/g)无显著差异。肿瘤摄取在1至3小时内保持稳定,随后缓慢下降。吸收剂量最高的是肾脏,其次是腹部的器官和组织。
讨论:在小鼠体内进行的生物分布研究表明,[177Lu]Lu-BQ7876的靶向特性并不逊于[177Lu]Lu-PSMA-617,但也没有任何决定性的优势。
参考文献:DOI: 10.3389/fonc.2023.1221103