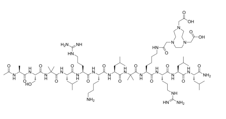
NOTA-COG1410可以形成靶向骨髓细胞上表达的触发受体2(TREM2)的放射性配体,通过正电子发射断层扫描/计算机断层扫描,发现和诊断消化系统肿瘤。NOTA-COG1410可用于放射性核素偶联药物(RDC)的合成/研究。

目前,正电子发射断层扫描/计算机断层扫描(PET/CT)是发现和诊断消化系统肿瘤的重要方法。然而,特异性显像剂的短缺限制了PET的有效性。髓样细胞表达的触发受体2(TREM2)作为一种M2型巨噬细胞的生物标志物,因其高丰度和特异性而备受关注,可能是PET显像的理想靶点。首先,利用数据库分析了肿瘤及相应正常组织中TREM2的表达,并通过组织微阵列和小鼠模型切片进行了验证,发现肿瘤组织中TREM2的表达显著高于正常组织和肠炎组织。然后,我们建立了巨噬细胞共培养系统以获得肿瘤相关巨噬细胞(TAMs)。与M1型巨噬细胞和肿瘤细胞相比,TAMs中TREM2的表达水平更高。成功合成了新型放射性配体68Ga-NOTA-COG1410用于TREM2靶向PET显像。生物分布和微型PET/CT结果显示,68Ga-NOTA-COG1410在肿瘤中有高摄取,而在炎症区域则无摄取。数据表明,68Ga-NOTA-COG1410是一种特异性靶向TREM2的放射性配体,可用于区分肿瘤与炎症。使用68Ga-NOTA-COG1410,正电子发射断层扫描(PET)在消化系统肿瘤成像方面的效果可能会得到增强。
参考文献: DOI: 10.1021/acs.analchem.1c04701